تعیین حجم نمونه با فرمول کوکران | آموزش جامع برای پایاننامه و تحقیقات دانشگاهی
تعیین حجم نمونه با فرمول کوکران چیست؟
تعیین حجم نمونه با فرمول کوکران یکی از مهمترین و پرکاربردترین روشهای آماری در تحقیقات کمی است که بهطور گسترده در پایاننامهها، رسالههای دکتری، مقالات علمی و پژوهشهای دانشگاهی استفاده میشود.
در هر پژوهش علمی، انتخاب حجم نمونه مناسب نقش تعیینکنندهای در اعتبار نتایج، کاهش خطای آماری و قابلیت تعمیم یافتهها به جامعه آماری دارد. فرمول کوکران به پژوهشگران کمک میکند تا بدون حدس و گمان، حجم نمونهای استاندارد و علمی انتخاب کنند.
چرا تعیین حجم نمونه در پایاننامه اهمیت دارد؟
در نگارش پایاننامه و پروپوزال، اساتید راهنما و داوران توجه ویژهای به بخش روش تحقیق دارند. یکی از ایرادهای رایج پایاننامهها، عدم توجیه علمی حجم نمونه است.
اهمیت تعیین حجم نمونه مناسب:
افزایش اعتبار علمی پژوهش
کاهش خطای نمونهگیری
پذیرش آسانتر پروپوزال
دفاع قویتر در جلسه دفاع
امکان چاپ مقاله استخراجشده از پایاننامه
به همین دلیل، استفاده از فرمول کوکران در پایاننامه یک انتخاب حرفهای و قابل دفاع است.
فرمول کوکران (Cochran Formula) چیست؟
فرمول کوکران یک فرمول آماری استاندارد برای محاسبه حجم نمونه در پژوهشهای کمی است که نخستینبار توسط ویلیام کوکران ارائه شد. این فرمول زمانی استفاده میشود که هدف پژوهش، بررسی ویژگیهای یک جامعه آماری بزرگ با استفاده از نمونهگیری تصادفی باشد.
فرمول کوکران در دو حالت استفاده میشود:
جامعه آماری نامحدود
جامعه آماری محدود
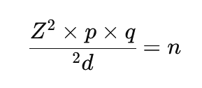
فرمول کوکران برای جامعه آماری نامحدود
اگر حجم جامعه آماری بسیار بزرگ باشد یا تعداد آن مشخص نباشد، از فرمول زیر استفاده میشود:

توضیح کامل متغیرهای فرمول کوکران
1. حجم نمونه (n)
تعداد افرادی که باید در پژوهش شرکت کنند.
2. مقدار Z (سطح اطمینان)
مقدار Z از جدول توزیع نرمال استخراج میشود و نشاندهنده سطح اطمینان پژوهش است.
| سطح اطمینان | مقدار Z |
|---|---|
| 90٪ | 1.64 |
| 95٪ | 1.96 |
| 99٪ | 2.58 |
🔹 در اغلب پایاننامهها، سطح اطمینان 95٪ انتخاب میشود.
3. نسبت موفقیت (p) و نسبت عدم موفقیت (q)
p: نسبت صفت مورد بررسی در جامعه
q: برابر با (1 − p)
📌 اگر مقدار p مشخص نباشد (که در اکثر پایاننامهها همینطور است)، مقدار 0.5 برای p و q در نظر گرفته میشود.
این انتخاب باعث میشود حجم نمونه در حالت محافظهکارانه محاسبه شود و از نظر علمی مورد قبول باشد.
4. میزان خطای مجاز (d)
خطای مجاز میزان دقت پژوهش را مشخص میکند.
مقادیر رایج:
0.05 → خطای 5٪ (رایجترین مقدار در پایاننامهها)
0.03 → دقت بالا
0.01 → دقت بسیار بالا
هرچه مقدار d کوچکتر باشد، حجم نمونه بزرگتر خواهد شد.
مثال محاسبه حجم نمونه با فرمول کوکران (مناسب پایاننامه)
فرض کنید:
سطح اطمینان: 95٪
Z = 1.96
p = 0.5
q = 0.5
d = 0.05
✅ حجم نمونه برابر با 384 نفر است.
این عدد یکی از پرتکرارترین حجم نمونهها در پایاننامههای علوم انسانی و مدیریت است.
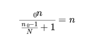
فرمول کوکران برای جامعه آماری محدود
در صورتی که حجم جامعه آماری مشخص باشد (مثلاً تعداد کارکنان یک سازمان)، باید از فرمول اصلاحشده کوکران استفاده کرد:
توضیح متغیرها:
n₀: حجم نمونه اولیه
N: حجم جامعه آماری
n: حجم نمونه نهایی
مثال جامعه محدود (کاملاً مناسب فصل سوم پایاننامه)
فرض کنید:
حجم جامعه آماری: 1000 نفر
حجم نمونه اولیه: 384 نفر
✅ در این پژوهش، حجم نمونه نهایی 278 نفر خواهد بود.
کاربرد فرمول کوکران در پایاننامهها
فرمول کوکران بهطور گسترده در رشتههای زیر استفاده میشود:
مدیریت (MBA، دولتی، بازرگانی)
حسابداری
علوم تربیتی
روانشناسی
علوم اجتماعی
بازاریابی و رفتار مصرفکننده
تقریباً تمام پایاننامههای کمی که از پرسشنامه استفاده میکنند، میتوانند از این فرمول بهره ببرند.
مزایا و محدودیتهای فرمول کوکران
مزایای فرمول کوکران
مورد تأیید اساتید و داوران
ساده و قابل محاسبه
مناسب پژوهشهای کمی
قابل استفاده در جامعه محدود و نامحدود
محدودیتها
مناسب پژوهشهای کیفی نیست
نیازمند نمونهگیری تصادفی
پراکندگی واقعی دادهها را لحاظ نمیکند
نکات مهم برای نوشتن در پایاننامه
حتماً فرمول کوکران را در فصل سوم (روش تحقیق) ذکر کنید
مقادیر Z، p و d را توضیح دهید
یک مثال عددی ارائه کنید
منبع علمی (مانند Cochran, 1977) ذکر شود
از جداول و فرمولها بهصورت واضح استفاده کنید
سوالات متداول (FAQ – مناسب سئو)
آیا استفاده از فرمول کوکران در پایاننامه الزامی است؟
خیر، اما یکی از معتبرترین و پذیرفتهشدهترین روشهاست.
اگر مقدار p مشخص نباشد چه کنیم؟
در این حالت مقدار 0.5 برای p و q در نظر گرفته میشود.
فرمول کوکران برای چه تحقیقاتی مناسب است؟
برای تحقیقات کمی، پیمایشی و پرسشنامهای.
آیا فرمول کوکران برای جامعه کوچک مناسب است؟
برای جامعههای کوچک بهتر است از فرمول اصلاحشده استفاده شود.
جمعبندی نهایی
تعیین حجم نمونه با فرمول کوکران یکی از مهمترین مراحل در طراحی پژوهشهای دانشگاهی و نگارش پایاننامه است. این فرمول با فراهمکردن یک چارچوب علمی و استاندارد، به دانشجویان کمک میکند تا پژوهشی دقیق، معتبر و قابل دفاع ارائه دهند.
اگر قصد دارید پایاننامه یا مقالهای اصولی و قابل چاپ بنویسید، استفاده صحیح از فرمول کوکران یک ضرورت علمی محسوب میشود.

